Methodenbeschreibung Chlorid
GERÄTE:
Eppendorfpipetten (10-100 µl und 5 ml)
Meßkolben (100 ml)
ca.10 Bechergläser (10 ml) + Rührfische
Titrationseinheit mit dunkler Glasflasche
Magnetrührer
REAGENZIEN:
IAPSO (zertifizierter Meerwasserstandard)
0,1 N AgNO3-Lsg.
K-Chromat (4,2 g)
K-Dichromat (0,7 g)
VORBEREITUNG DES INDIKATORS
K-Chromat (4,2g) und K-Dichromat (0,7g) in100 ml Aqua bidest. lösen. (über Monate hinweg haltbar). ACHTUNG: Die Indikatorlösung ist giftig ! Entsprechende Schutzvorkehrungen treffen und den Abfall als Sondermüll ensorgen (auch wegen des Silbernitrates!)
TITRATION:
100 µl Probe werden mit 5 ml Aqua bidest und 100 µl Indikator versetzt und bei stetigem Rühren mit der 0,1 N AgNO3 bis zum Farbumschlag titriert. Der Farbumschlag erfolgt von einer zitronengelben, klaren Färbung zu einem orangenen, leicht trüben Farbton („schlechter Orangensaft“). Den Verbrauch an Silbernitratlösung notieren.
Zum Üben der Methode und zur Ermittlung des f-Faktors den IAPSO-Meerwasserstandard mehrfach (ca. 10-20 Mal) titrieren.
KALIBRATION:
Kalibriert wird mit IAPSO-Standard der genauso titriert wird wie die Proben. Aus dem Verbrauch an AgNO3-Lsg. für den IAPSO ergibt sich der f-Faktor zur Berechnung der Chlorinität. Zu beachten ist, daß bei der Titration mit AgNO3 ebenfalls Bromid (0,86 mM in Standard-Seewasser) und Iodid (ca. 0,2 µM in Standard-Seewasser) erfasst werden.
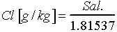
Ein IAPSO-Standard mit der Salinität von 34,998 (s.Etikett) hat eine Chlorinität von 19,2787 g/kg, weil:
Daraus ergibt sich eine Cl-Konzentration von 556 mM und (unter Berücksichtigung der Bromidkonzentration) ein Sollverbrauch an AgNO3 (0,1N) von 0,557 ml.

AUSWERTUNG :
oder vereinfacht
MÖGLICHE STÖRUNGEN:
Hohe Konzentrationen an H2S (> 1mmol/l) im Probenmaterial behindern die
Messungen. Daher sollten solche Proben vor der Messung mit HNO3 (0,05 N/suprapur) im Verhältnis 1:1 angesäuert werden und für 1-2 Tage ohne Deckel in einem kühlen Raum aufbewahrt werden (Verdünnungsfaktor bei der Auswertung berücksichtigen!).
RELATIVE STANDARDABWEICHUNG: 0,352 % (n=5)